Queering Is Caring

Access to gender-affirming treatments and care decreased the odds of both depression and suicide in transgender and non-binary youth.

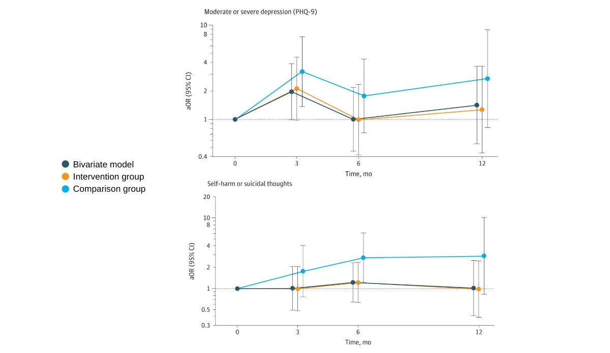
a graph of different sizes and colors

Read Time: 2 minutes

Published:

Transgender and non-binary youth are at higher risk of poor mental health outcomes compared to their cisgender peers. 

2022 National Survey of LGBTQ Youth Mental Health found that nearly 1 in 5 transgender and non-binary youth attempted suicide. Over half of the 34,000 youth (ages 13-24) interviewed reported serious consideration of suicide. And two-thirds reported experiencing symptoms of depression in the past year. 

Gender-affirming care is social, psychological, and medication interventions that support and validate a person’s gender identity. This care is known to improve mental health, but few studies look at the impact of pharmacological interventions on trans and non-binary youth. 

Diana Tordoff and a team of researchers wanted to know if access to gender-affirming care in the form of puberty blockers and gender-affirming hormones for trans and non-binary youth lowered their risk of suicide and decreased rates of depression and anxiety. They studied 69 youth participants between 13 and 20 years old receiving medications that block puberty changes and gender-affirming hormones (e.g., can lower voices) and 35 participants not receiving either intervention. 

In the graphs above, the blue line represents youth who did not receive medical intervention, and the orange line represents the group that received gender-affirming pharmaceutical treatment.

For the blue line, rates of depression and suicidal thoughts increased from the start to the end of the study period. The orange line shows the odds of suicidal thoughts lowering and remaining significantly lower than the blue line in those receiving medications. The researchers found that initiation of puberty blockers and gender-affirming hormones decreased the odds of depression by 60% and decreased the odds of suicidality by 73% compared to the youth who did not receive these treatments. 

As more states are introducing anti-transgender bills throughout the country, these researchers suggest that their results demonstrate the positive mental health effects of medical treatments for transgender and binary youth seeking care, therapies that deserve protection. 

Databyte via Diana M. Tordoff, Jonathon W. Wanta, and Arin Collin, Mental Health Outcomes in Transgender and Nonbinary Youths Receiving Gender-Affirming Care. JAMA Network Open, 2022.